适老版
无障碍
网站支持IPv6
首 页
市情
政府信息公开
政务服务
专题
互动回应
当前位置:
首页
>
政府信息公开
>
部门信息公开
>
公共服务单位信息公开目录
>
国网伊春供电公司
>
办事公开
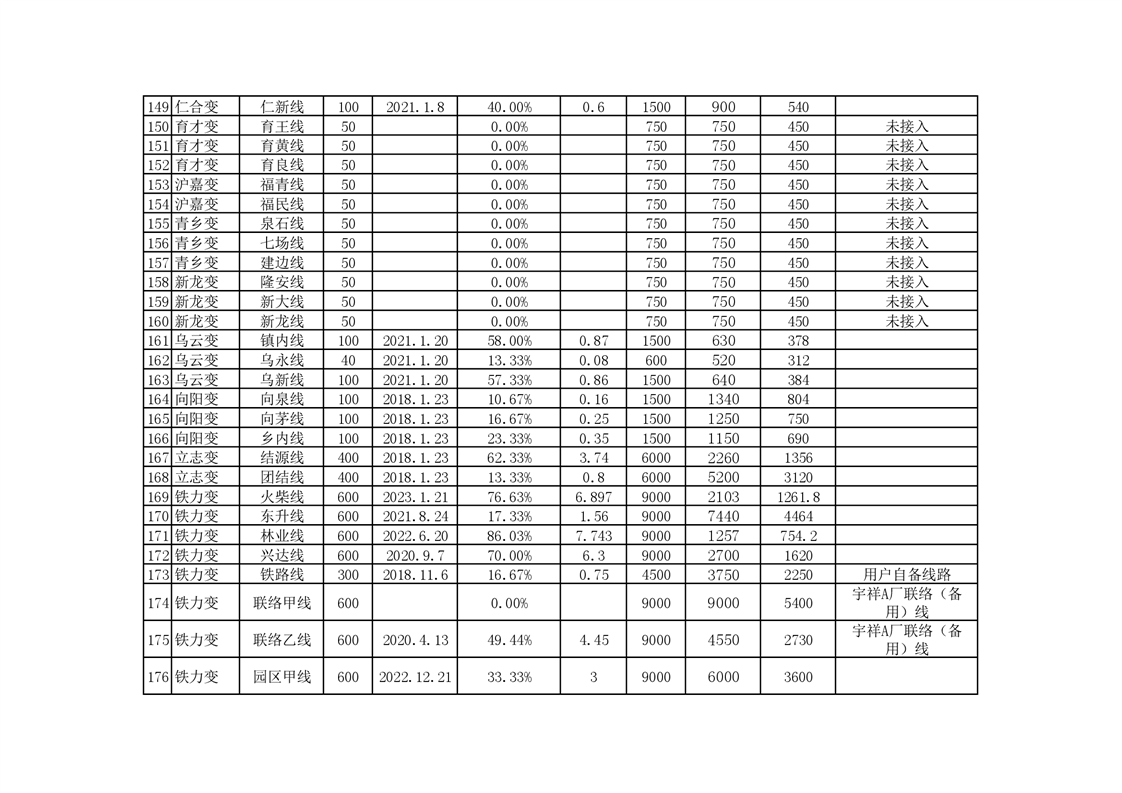
2024年07月变电站、10(20)kV配电线路容量可开放信息
日期:
2024-08-01 10:47
来源:
伊春供电公司
【字体:
大
中
小
】
分享到: